古代廉政|直隶井陉贪庇大案

发布时间:2024-09-16

乾隆四十三年(1778年),直隶井陉爆发了一起知县贪污和各级官员庇护的大案。
在审理此案的过程中,乾隆帝甚至连发八道谕旨,足见案情的严峻复杂。

告状无门

河北井陉县位于河北省西部,太行山东麓,山区面积较大。
乾隆四十三年八月初秋,正值庄稼将要收获的季节,井陉县向全县农民收购3000石谷子,每石谷子的官定银价是9钱3分。
已经在井陉任职8年的知县周尚亲企图从中渔利,每石谷子克扣3钱3分,只给农民6钱,由此引发事端。

河北井陉,地形山多平原少

井陉各村村民及士绅得知周边的平山县等官收谷价是每石9钱3分,便找周尚亲理论,要求退还扣下的银子。
但周尚亲蛮横压制,拒不认错,甚至屡次将前来理论的村民代表赶出衙门。
无奈之下,村民们想到了金柱村的秀才梁绿野,请他出来主持正义。

梁绿野自幼聪明好学,文采出众,且口才极佳 ,曾考取秀才,敢做敢言,在周边村民中很有威望。
梁绿野接受了村民们的请求,详细了解事情的来龙去脉,并联合本村和邻村的李望春、梁进文、李馥等人,计划到正定府越级上告。
村民们得知消息后,纷纷自愿捐款作为费用,以促成对周尚亲的上告。

乾隆四十四年二月十三日,梁绿野等人组织了百余人的请愿队伍,从井陉出发前往正定。
正定府知府方立经因与周尚亲关系密切,早知周尚亲和总督周元理是同族,于是不仅不立案,反而将梁绿野一行人赶出府衙。

梁绿野等人扬言要到保定上告,方立经一看事情要闹大,一面上报保定学政,申请革去梁绿野、梁进文二人的秀才功名,一面派遣差役到井陉抓捕已回家的梁绿野等人。
此举非但未平息事端,反而激起了更多民愤,抓人的差役遭到村民围攻,最终被轰出村庄。

官官相护

赶走差役后,村民们义愤难平,听说朝廷钦差刘浩在正定奉旨主持重修隆兴寺,决定集资去钦差处告状。
梁绿野等随即再集百余人,再次前往正定。

千年古刹——正定隆兴寺

刘浩时任工部侍郎,久任多年,深晓官箴,素行明哲保身,不但不接见村民,还稳坐内宅饮酒作乐,对门外的喊冤声毫不理会。
梁绿野等人冒着严寒在门外静坐等候,一再请求门军转报,要求面见刘浩。
此时,围观者愈来愈多,聚集达数百之众。
刘浩见人越来越多,悄悄向正定知府方立经询问详情,得知周尚亲和总督周元理关系,便让师爷传话说:“本钦差是办工程之人,未便多管地方上的事件,请大家到保定清河道台衙门上告,并将大家的诉求转给臬台大人,请大家散去!”众人见钦差如此推脱,商议后委托梁绿野等10余人次日赴保定继续告状,其余村民返回井陉等待消息。

次日梁绿野等人尚未到达保定,方立经已开始行动。
他拿着周尚亲送的银票找到其上司清河道沈鸣皋,沈鸣皋拿人钱财替人消灾,又找到按察使文禄。
文禄得知情况,认为这是一起刁民肇事案,将方立经的报告转呈给直隶总督周元理。
周元理意图庇护,先召见井陉知县周尚亲,询问情况。
周尚亲巧辩称并无克扣购粮款之事,去年秋天收购公粮时用制钱短缺,只发给村民6钱,剩余3钱3分稍后补发。
村民不听事实,多次闹事,都是梁绿野等人煽动。

周元理决意包庇,责成周尚亲立即将克扣的银子退还村民,缓解民怨。
同时会同按察使文禄上奏,严惩告状者,称梁绿野等人“聚众抗官”。

周尚亲回到井陉,立即召集乡保返还每石3钱3分购粮余款。
但官府打击报复梁绿野父子在先,加之村民对周尚亲平时无理摊派早有不满,决定继续上告。

八道谕旨

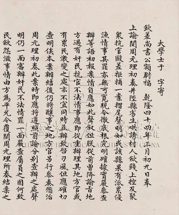
二月底,周元理和文禄的奏折递京,乾隆帝阅后大怒,立即批复,发布解决井陉案的第一道谕旨:“李望春、梁绿野因挟嫌肇衅,传单敛钱,已属刁恶。
…著传谕周元理,即将各犯审讯确情!”显然,乾隆帝相信了封疆大吏的奏报,认定梁绿野等人聚众抗官。

乾隆四十四年三月初九日上谕



周元理接到谕旨,如握上方宝剑,立即将与井陉案有关的李望春、梁进文、李馥等人抓捕入狱,严刑逼供。
侥幸逃脱的梁绿野愤慨,于是同80余岁的伯父秘密前往京城直接告御状,但在京被提督衙门抓捕。

提督衙门审讯后,案情逐渐明朗,立即向乾隆帝奏报。
乾隆帝随即派侍郎喀宁阿、钱汝诚前往井陉调查案情,二人证实了周尚亲克扣谷价银一事。
乾隆帝察觉此案非同小可,又委派尚书福隆安彻查。

三月初九日,福隆安抵达正定,亲自审问李望春等人,并询问周尚亲等官员,将所悉实情奏报京城。
乾隆帝很快降下第二道谕旨:“始疑该县之短价银钱各款,似非尽由奸民诬捏”。
责备周元理未将派累激变之事据实上奏,显属袒庇官员,命其革职查办。

随后,乾隆帝颁发第三道谕旨,批评周元理做为直隶总督的过失,称其“意存袒徇”“隐而不叙”,因循失职。

福隆安审得周尚亲管家骆荣的供词,认定周尚亲贪占谷价,激起民怨,而周元理等官员庇护。
据此乾隆帝又颁发第四道谕旨,将周元理解职,留任三品衔,赴正定隆兴寺效力赎罪。

第五道谕旨处理刘浩:“著革职,留守隆兴寺效力赎罪!”

第六道谕旨从重处理井陉案相关官员:井陉县知县周尚亲按律问拟,臬司文禄、清河道沈鸣皋、正定府知府方立经革职发往新疆效力赎罪。

周元理被革职后,上奏请见皇帝谢罪。
乾隆帝阅后立即发出第七道谕旨,重申处理原因:周元理身为重臣,本不愿处理他,但此事关系政体官方,若姑容,吏治难问。
并告知周元理不要来京,“俟庙工竣,朕自当亲诣瞻礼”。

三月底,乾隆帝再发第八道谕旨,将控告贪官的梁进文、梁绿野等人定罪:“直隶井陉县劣生梁进文等,敛财聚众,抗官殴差,拟斩决枭示”。
乾隆帝处理了各级贪官,但对据情上诉的村民处极刑,显然是为了维护统治,梁绿野等人成了封建制度下的牺牲品。

乾隆四十四年三月二十日上谕



此案也让乾隆帝深感官员贿赂贪污、裙带包庇风气渐盛,遂作《久任》诗,颁发各地督抚大员以警示。

乾隆帝《久任》诗

井陉大案震动朝野 ,乾隆帝在一月内连发八道谕旨,震慑贪官污吏,在一定程度上减轻百姓赋税,缓解官民矛盾。
但案件也折射出乾隆朝以来的吏治腐败,因循积弊难返。