理论最大相对密度计算

发布时间:2024-09-18

Image

3D打印技术正在改变制造业的面貌,而理论最大相对密度(TMD)在这个过程中扮演着至关重要的角色。TMD是指在理想条件下,材料能够达到的最大密度与实际密度的比值。在3D打印中,准确计算和控制TMD对于生产高质量、高性能的零件至关重要。

3D打印中理论最大相对密度的重要性

在3D打印过程中,材料的密度直接影响最终产品的性能。例如,在选择性激光熔化(SLM)技术中,金属粉末的完全熔化可以实现高致密度,从而获得更好的力学性能。然而,如果TMD计算不准确,可能会导致零件内部出现孔隙,影响其强度和耐用性。

此外,TMD还与3D打印过程中的热应力有关。在电子束熔化(EBM)技术中,高能电子束的选择性轰击会导致材料局部快速加热和冷却。如果TMD控制不当,可能会产生不均匀的热膨胀,导致零件变形或开裂。

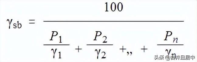
理论最大相对密度的计算方法

计算TMD需要考虑多种因素,包括材料特性、打印工艺参数和零件几何形状等。目前,常用的计算方法包括:

  1. 经验公式法:根据已知材料的特性,使用经验公式估算TMD。这种方法简单快速,但精度有限。

  2. 有限元分析(FEA):通过建立详细的数值模型,模拟3D打印过程中的材料行为。这种方法可以更准确地预测TMD,但计算量较大。

  3. 机器学习方法:利用大量实验数据训练模型,快速预测TMD。这种方法在精度和效率之间取得了平衡。

3D打印中理论最大相对密度的应用挑战

尽管TMD计算方法不断进步,但在实际应用中仍面临诸多挑战:

  1. 材料特性变化:不同批次的金属粉末可能存在微小差异,这会影响TMD的准确性。

  2. 工艺参数优化:需要在提高TMD和保证打印效率之间找到平衡。过高的激光功率或电子束能量可能会导致材料过度熔化,反而降低TMD。

  3. 零件几何复杂性:对于复杂的点阵结构或薄壁结构,TMD的计算和控制更加困难。

  4. 后处理影响:打印后的热处理等后处理过程也会影响最终产品的密度。

未来展望

随着3D打印技术的不断发展,TMD的计算和控制将变得更加精确和智能化。结合先进的材料科学、精密制造技术和人工智能算法,我们有望实现更高精度、更复杂结构的3D打印。这将为航空航天、医疗植入物等领域带来革命性的突破,推动制造业向更高效、更环保的方向发展。