试验知识--介质损失角正切值的测试原理

发布时间:2024-09-15

Image

在电介质材料中,当施加交流电压时,一部分电能会被转化为热能而损失掉。这种能量损失的程度可以用一个重要的物理量来表征,那就是介质损失角正切值(tanδ)。这个看似专业的概念,实际上与我们日常生活中使用的各种电器设备的性能密切相关。

介质损失角正切值的定义与物理意义

tanδ的定义很简单:它是电容器在单位时间内每单位体积中,将电能转化为热能而消耗的能量与储存的能量之比。具体来说,tanδ等于电容器的有功功率P与无功功率Q的比值。用公式表示就是:tanδ = P/Q。

这个比值的物理意义是什么呢?它反映了电介质材料在交变电场作用下,电位移与电场强度之间的位相差。换句话说,tanδ越大,说明电介质材料在使用过程中能量损失越大,容易发热和老化。

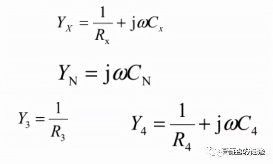
介质损失角正切值的测试原理与方法

测量tanδ的传统方法是使用西林电桥。这种方法需要配备外部标准电容器和10kV升压器。工作原理是通过调节电桥的电阻和电容,使电桥达到平衡状态,此时可以读出tanδ值。然而,这种方法操作复杂,抗干扰能力差,已经逐渐被更先进的数字型高压介损测试仪所取代。

数字型高压介损测试仪的工作原理是基于传统西林电桥的原理,但采用了更先进的技术。它通过标准侧和被试侧分别对流过标准电容器和被试品的电流信号进行高速同步采样,然后通过计算机分析计算出tanδ及电容量。这种方法具有测量过程全自动、抗干扰能力强、数据准确可靠等优点。

介质损失角正切值在实际应用中的重要性

tanδ的大小直接影响着电介质材料的性能和使用寿命。在绝缘设计中,必须注意绝缘材料的tanδ值。如果tanδ值过大,会引起严重发热,加速绝缘老化,甚至可能导致热击穿。例如,胶纸电容式套管如果tanδ值较大,就很难在超高压系统中使用。

此外,tanδ的测量对于判断电气设备的绝缘状况具有重要意义。它能反映出绝缘的一系列缺陷,如绝缘受潮、油或浸渍物脏污或劣化变质,绝缘中有气隙发生放电等。因此,按照电力设备预防性试验规程的规定,对多种电力设备(如电力变压器、发电机组、高压开关、电压电流互感器、套管、耦合电容等)都需要做介质损耗因素(tanδ)的测量。

总的来说,介质损失角正切值是一个重要的电学参数,它不仅反映了电介质材料的性能,还与电气设备的安全运行密切相关。随着技术的进步,tanδ的测量方法也在不断改进,为电气工程领域提供了更精确、更可靠的测试手段。